By Kevin E. Noonan –
The Supreme Court's (re)consideration of the enablement requirement expected in its decision later this year in Amgen v. Sanofi may be the most closely watched patent case since AMP v. Myriad Genetics. But in a decision handed down on Monday, Regents of the University of Minnesota v. Gilead Sciences, Inc., the Federal Circuit reminded us that the principles and considerations that form the basis for the Federal Circuit's recent enablement jurisprudence originated in that Court's analysis of the other side of Section 112(a), the written description requirement.
The case arose in an inter partes review decision by the Patent Trial and Appeal Board involving Gilead's challenge of claims 1−9, 11−21, and 23−28 of U.S. Patent 8,815,830. The issue was reached in the only way it can be in an IPR: Gilead challenged Minnesota's right to priority to applications earlier filed than Gilead's patent on its commercial product, sofosbuvir used to treat hepatitis C infections. The temporal relationships between the patents and applications at issue are set forth in this table in the opinion:

Claim 1 was considered representative of the claims challenged in the IPR and illustrate the legal principles that formed the basis for the Court's opinion:
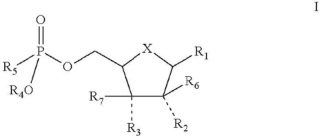
1. A compound of formula I:
R1 is guanine, cytosine, thymine, 3-deazaadenine, or uracil, optionally substituted by 1, 2, or 3 U; wherein each U is independently halo, hydroxy, (C1-C6)alkyl, (C3-C6)cycloalkyl, (C1-C6)alkoxy, (C3-C6)cycloalkyloxy, (C1-C6)alkanoyl, (C1-C6)alkanoyloxy, trifluoromethyl, hydroxy(C1-C6)alkyl, -(CH2)1-4P(=O)(ORw)2, aryl, aryl(C1-C6)alkyl, or NRxRy;
R2 is halo;
R6 and R7 are independently H or (C1-C6)alkyl;
R3 is hydroxy;
R4 is hydrogen, (C1-C6)alkyl, (C3-C6)cycloalkyl, aryl, aryl(C1-C6)alkyl, or 2-cyanoethyl;
R5 is an amino acid;
X is oxy, thio, or methylene;
each Rw is independently hydrogen or (C1-C6)alkyl;
Rx and Ry are each independently hydrogen, (C1-C6)alkyl, (C3-C6)cycloalkyl, phenyl, benzyl, phenethyl, or (C1-C6)alkanoyl; or Rx and Ry together with the nitrogen to which they are attached are pyrrolidino, piperidino or morpholino;
wherein any (C1-C6)alkyl of R1, R4-R7, Rw, Rx, and Ry is optionally substituted with one or more halo, hydroxy, (C1-C6)alkoxy, (C3-C6)cycloalkyloxy, (C1-C6)alkanoyl, (C1-C6)alkanoyloxy, trifluoromethyl, azido, cyano, oxo(=O), (C1-C6)alkyl, (C3-C6)cycloalkyl, (C3-C6)cycloalkyl(C1-C6)alkyl, (C1-C6)alkyl-S-(C1-C6)alkyl-, aryl, heteroaryl, alkyl(C1-C6)alkyl, or heteroaryl(C1-C6)alkyl, or NRajRak; wherein each Raj and Rak is independently hydrogen, (C1-C6)alkyl, (C3-C6)cycloalkyl, phenyl, benzyl, or phenethyl;
and wherein any aryl or heteroaryl may optionally be substituted with one or more substituents selected from the group consisting of halo, hydroxy, (C1-C6)alkyl, (C3-C6)cycloalkyl, (C1-C6)alkoxy, (C3-C6)cycloalkyloxy, (C1-C6)alkanoyl, (C1-C6)alkanoyloxy, trifluoromethyl, trifluoromethoxy, nitro, cyano, and amino;
or a pharmaceutically acceptable salt thereof.
It should be noted that this claim and the notational complexity thereof is not that different from many claims in chemical and biotechnological patents.
There was no dispute that the Sofia patent discloses every limitation of the claims challenged in the IPR and thus the '830 patent claims would be invalid if the patent was not entitled to priority to one of the three Minnesota patent applications (designated "P1," "NP2," and "NP3" in the opinion) that preceded it (as shown in the table).
As discussed in the opinion, the disclosure of the NP3 application was the same as the NP2 application, and the Board "focused its priority analysis on the disclosures of NP2 and P1, each of which was filed before Sofia was published." The PTAB held that the challenged claims were invalid for anticipation by Gilead's Sofia publication because the disclosures of the NP2 and P1 prior applications did not provide an adequate written description of the claims in the '830 patent. Thus the '830 patent was not entitled to the priority date of any of these applications and the Sofia patent publication was anticipating prior art. The basis of the Board's decision was that "these documents contained neither ipsis verbis support nor sufficient blaze marks to guide the skilled artisan to the claims of the '830 patent." The Board issued a Final Written Decision invalidating the challenged claims of the '830 patent and this appeal followed.
The Federal Circuit affirmed, in an opinion by Judge Lourie joined by Judges Dyk and Stoll. (It should be remembered that Judge Lourie almost single-handedly developed the modern application of the Court's written description jurisprudence, particularly for biotechnology claims, in cases including Amgen, Inc. v. Chugai Pharmaceutical Co., Fiers v. Revel, Enzo Biochem, Inc. v. Gen-Probe Inc., University of Rochester v. G.D. Serle Co., and most particularly Regents of California v. Eli Lilly & Co. and Ariad Pharmaceuticals, Inc. v. Eli Lilly & Co.) The opinion addressed Minnesota's three grounds for appeal in order: first, that the Board erred in finding no adequate written description for the '830 claims in the priority documents; second, that the decision was contrary to the Administrative Procedures Act; and third, that Minnesota as a sovereign State was immune from the Board's jurisdiction.
With regard to the written description question per se, the opinion sets forth a brief but informative synopsis of the standard properly applied by the Board. As part of the patent "quid pro quo," the panel noted that the "judicial gloss" imposed by the courts is that a disclosure must show that the applicant made what was claimed. In the context of claims to a chemical genus, the Court apprehends "particular issues" to be raised because such claims must be supported by disclosure of "either a representative number of members of the genus or structural features common to the members of the genus, in either case with enough precision that a relevant artisan can visualize or recognize the members of the genus," citing Ariad. Minnesota's argument sounded in the second basis for an adequate written description, setting forth "blaze marks" sufficient to disclose the genus. Under the substantial evidence standard applied to factual questions decided by the Board (which for written description issues "must be assessed on a case-by-case basis" under Vas-Cath Inc. v. Mahurkar, 935 F.2d 1555, 1562 (Fed. Cir. 1991)), the Federal Circuit agreed that the Board did not err in finding against Minnesota. Minnesota contended that a collection of dependent claims, each being directed to species for one of the several substituents (P1 Claim 47 for R7 substituents, P1 Claim 45 for R6 substituents, P1 Claim 33 for R5 substituents, P1 Claim 21 for R3 substituents, P1 Claim 13 for R2 substituents, and P1 Claim 2 for R1 substituents, and P1 Claim 1 for R4 substituents and X) provided ipsis verbis disclosure of the subgenus claimed in the '830 patent. Calling this recitation a "maze-like path" needing to be followed, with "each step providing multiple alternative paths," this is "not a written description of what might have been described if each of the optional steps had been set forth as the only option." The inadequacy in the argument (and the written description) is its indeterminacy and lack of direction because "all those optional choices do not define the intended results of claim 1 of the'830 patent." The panel states that the situation before them was analogous to the claims invalidated on written description grounds in Fujikawa v. Wattanasin, 93 F.3d 1559, 1571 (Fed. Cir. 1996), which provided what the Court characterized in that case to be an assertion of "laundry list disclosure of every possible moiety for every possible position" as providing an adequate written description, which the Court rejected because "such a disclosure would not 'reasonably lead' those skilled in the art to any particular species."* Here, the panel asserts that the disclosure relied upon by Minnesota recited "a compendium of common organic chemical functional groups, yielding a laundry list disclosure of different moieties for every possible side chain or functional group" and "[i]ndeed, the listings of possibilities are so long, and so interwoven, that it is quite unclear how many compounds actually fall within the described genera and subgenera." On this basis, the Federal Circuit held that the P1 priority document does not provide sufficient ipsis verbis support for the challenged '830 patent claims to entitle these claims to its priority date.
Turning to the question of whether the prior applications provided the requisite "blaze marks" to satisfy the written description requirement, the Federal Circuit again agreed with the PTAB that they did not. In doing so (after stretching the "tree in the forest" analogy about as far as it could be taken), the opinion rejects Minnesota's attempted reliance on rubrics from Ariad, stating that Ariad stood for the principle that what is required is:
[A] description of a claimed genus disclosing either (1) "a representative number of species falling within the scope of the genus," which the parties do not dispute is lacking here, or (2) "structural features common to the members of the genus," either of which must enable "one of skill in the art [to] 'visualize or recognize' the members of the genus" [emphasis in opinion].
In the applications considered here (P1 and NP2) "the structures here are so extensive and varied that the structures of P1 claim 47, which, through its multiple dependencies, encompasses a significantly larger genus than that claimed in the '830 patent, are not sufficiently common to that of claim 1 of the '830 patent to provide written description support." Under these circumstances there are no "blaze marks" in the P1 nor NP2 applications to the subgenus claimed in the '830 patent for the skilled worker to appreciate. Having failed to satisfy either alternative basis for an adequate written description, the Federal Circuit held that the PTAB properly invalidated the challenged claims as being anticipated by the Sofia publication.
Minnesota's remaining grounds for appeal were dealt with by the Court more expeditiously. With regard to the APA challenge, the opinion rejects there being an APA basis for objection to the Board "disregard" for Minnesota's experts, because the Court states "[i]t is within the discretion of the Board to weigh the evidence of record," citing Tiger Lily Ventures Ltd. v. Barclays Cap. Inc., 35 F.4th 1352, 1365−66 (Fed. Cir. 2022), and regardless the record showed that the Board had cited Minnesota's experts "more than a dozen times" in its FWD. Nor does the APA require the Board to perform a "creditability determination" for expert witness testimony according to the panel. The Court also rejected Minnesota's claim that the Board's decision was contrary to an earlier decision involving Gilead, the opinion reciting five ways in which the earlier case was different from this one. And the panel rejected Minnesota's objections on certain procedural grounds, stating that they had been given an adequate opportunity to respond during the IPR.
Finally, the opinion summarily rejected Minnesota's sovereign immunity claims based on its earlier decision in Regents of the University of Minnesota v. LSI Corp., 926 F.3d 1327 (Fed. Cir. 2019), on collateral estoppel and stare decisis grounds.
As with enablement, the Federal Circuit (albeit supported by over thirty years of precedent) has established a standard requiring heightened disclosure supporting claims to chemical and biological inventions. The inherent complexity in these arts provides a logical basis for the distinctions drawn in this case and in earlier written description cases, and the Court's concern over a patentee receiving claims of broader scope than what is expression disclosed is a consistent theme in these cases and the more recent enablement cases before the Federal Circuit. This parsimony is likely to resonate with the Supreme Court and thus encase in stone the disclosure requirements for written description developed for a generation by the Federal Circuit.
*Such an objection has not, sadly, prevented the Patent Office from making arguments encompassing prior art laundry list disclosures in asserting lack of patentability.
Regents of the University of Minnesota v. Gilead Sciences, Inc. (Fed. Cir. 2023)
Panel: Circuit Judges Lourie, Dyk, and Stoll
Opinion by Circuit Judge Dyk


Leave a comment