By Michael Greenfield —
In a not particularly well-written opinion that breaks no new ground, the Federal Circuit considered a consolidated appeal of two patents directed to methods of promoting hair growth, including, in particular, eyelash hair growth using compounds and analogs that were previously known for their utility in treating glaucoma.
Allergan had asserted its 7,351,404 patent (the '404 patent) and Duke asserted its 7,388,029 patent (the '029 patent) after Apotex filed an ANDA for a generic version of Allergan's Latisse®, an ophthalmic solution comprising bimatoprost (a prostaglandin F-2-alpha ("PGF") analog) as the active ingredient. The District Court had held the asserted patents were not invalid and were infringed, but in an opinion issued June 10, 2014, a split panel vacated and reversed. The appeal included an issue of claim construction, the Court once again delving the depths of the meaning of the word "and," as well as issues of anticipation and obviousness.
The two patents claimed uses of PGF analogs for promoting hair growth, generally, and eyelashes, in particular. The work that led to Duke's '029 patent arose from research into the effects of a wide range of prostaglandins on mice. The inventors discovered that PGF analogs specific for the FP receptor promoted growth of longer and thicker hair, and they filed the application directed to a method of treating hair loss.
The subject matter of the '404 patent arose from clinical studies of the glaucoma drug Lumigan® (identical to Allergan's Latisse®). The inventors observed that glaucoma patients treated with Lumigan® spontaneously grew longer and thicker eyelash hair. They filed their patent application directed to treatment of eyelash hair loss through topical administration of the PGF analog bimatoprost.
Claim construction
The claim construction issue involved the meaning of the '029 patent's claims to methods of "treating hair loss." The parties agreed that the term was to be construed as expressly defined in the specification: "'Treating hair loss' includes arresting hair loss or reversing hair loss, or both, and promoting hair growth." Apotex contended that the use of the conjunction "and" in the definition of "treating hair loss" required both (a) arresting or reversing hair loss and (b) promoting hair growth, whereas Allergan contended that term required only (a) arresting or reversing hair loss or (b) promoting hair growth. Under Apotex's construction, its generic version of Latisse® would not infringe the claims because Latisse® lengthened, thickened, and darkened existing healthy hair (which they contended meant only promoting hair growth) but did not arrest or reverse hair loss.
By contrast, Allergan contended, and the District Court agreed, that by use of the word "includes" in the definition of "treating hair loss," the patentee plainly meant to encompass any one or more of preventing hair loss, arresting hair loss, and promoting hair growth but not necessarily all simultaneously. This interpretation was further bolstered by examples in the specification demonstrating several aspects of hair growth promotion without accompanying arresting or preventing hair loss. The panel affirmed the District Court's decision.
The '029 patent
Anticipation
Apotex contended that two prior art publications anticipated the '029 patent:
(1) Johnstone PCT/US98/02289 application ("Johnstone")
Johnstone disclosed methods of stimulating hair growth using analogs of PGF,

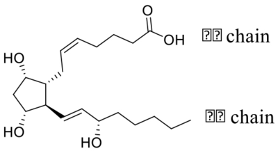
in which the α-chain was of the form

The '029 patent claims expressly disclaimed the Johnstone compounds, but Apotex asserted that Johnstone anticipated nevertheless because Johnstone stated that α-chain could be unsaturated (as shown above) or saturated (i.e., wherein the double bond shown above is a single bond). So, Apotex argued that because the '029 patent claims also encompassed the use of PGF analogs in which the α-chain was saturated (the saturated compounds not having been disclaimed), Johnstone anticipated.
But the District Court agreed with Duke that Johnstone was insufficiently specific with respect to PGF analogs with saturated α-chains. The District Court held that in view of the state of the art, the ordinary artisan would not have read Johnstone as disclosing the single-bonded structures because the evidence showed that such structures would not have been thought to have a therapeutic effect because they would selectively bind the FP receptor. The District Court further noted the examiner's statement that Johnstone "lacks motivation to modify the prostaglandins taught therein in order to obtain the presently claimed prostaglandins."
Another argument (that wasn't made) might have been that Johnstone failed to expressly teach any particular compound that anticipated the asserted claims but, instead, taught a genus of compounds in which the members of the genus were not so few that the ordinary artisan could have immediately envisioned them. Indeed, the dissent, which agreed with the majority on this issue, noted that Jonstone's teachings amounted to a laundry list comprising thousands or even millions of variations.
Following its reasoning, the Federal Circuit panel held that the District Court's reasoning was not clearly erroneous.
(2) The '819 patent
The '819 patent (an Allergan patent) taught a method of treating glaucoma comprising administering selective PGF analogs (including bimatoprost). Although the '819 patent was silent with respect to any sort of hair growth, hair loss, or topical administration, the issue was whether the '819 patent nevertheless anticipated the claims as inherently teaching the treatment of hair loss.
To cut to the chase, the District Court held that the evidence demonstrated that although it was possible that administration of eye drops according to the '819 patent could have resulted in transfer of some liquid to the adjacent eyelid skin, such transfer would not necessarily occur. Therefore, because an inherent limitation must necessarily be present to anticipate, the '819 did not anticipate the '029 claims.
Obviousness
The District Court held that the '029 claims were not invalid as obvious over the combination of Johnstone and the '819 patent because, the Court reasoned, the ordinary artisan wouldn't have combined the teachings of the two. Although the compounds of the two patents shared the unsaturated α-chain and the were effective in treating glaucoma, the compounds of the '819 patent comprised terminal amide groups on the α-chain (e.g., bimatoprost, which has a terminal ethyl amide moiety) whereas Johnstone's compounds comprised an ester or carboxylic acid at that position. And, furthermore, the '819 compounds were thought to bind to a receptor other than the FP receptor.
The majority disagreed, noting that the '029 patent claims were not limited to compounds having an α-chain amide moiety but included compounds having a variety of moieties at the terminal position of the α-chain, including esters and carboxylic acids. The majority found this problematic because for patentability purposes inventors had relied on the fact that the amide-containing PGF analogs bind to a variant of the FP receptor. But ester- and carboxylic acid-containing PGF analogs within the scope of the claims do not, and the majority faulted the District Court for not considering the issue of obviousness with respect to the full scope of the claims. Similarly, the majority faulted the District Court for not considering the secondary indicia of obviousness (unexpected results) for the full scope of the claims.
And the majority further criticized the District Court for overlooking teachings in Johnstone, which was "replete" with references to the advantages of PGF compounds (including those with carboxylic acid and ester moieties) failing within the scope of the '029 patent claims, including specific guidance as to the parameters that would lead to a reasonable expectation of success.
The majority concluded that Johnstone provided adequate teachings in conjunction with the '819 patent to guide the ordinary artisan to the claimed methods with a reasonable expectation of success. Therefore, the District Court's finding that the '029 patent claims were non-obvious was vacated and reversed.
The '404 patent
One issue that arose with respect to the '404 was the date of invention, important for determining whether certain Brandt publications were prior art. In brief, the Federal Circuit reversed the lower court's finding with respect to the date of invention because the panel found that none of the documentary evidence was directed to the claimed invention, i.e., topical application of bimatoprost. Rather, the only evidence of conception was the oral testimony of a co-inventor, which the panel essentially dismissed outright.
Allergan further argued that even neglecting the date of invention, the Brandt publications were not "by another" because it represented the inventors' own work. In particular, Allergan argued that one of the co-inventors directed the clinical trials whose results were reported in the Brandt publications and, therefore, the Brandt publications represented the inventors' work.
Although the issue may have not been timely presented, the panel nevertheless held that Allergan's argument was unavailing. The panel noted that the co-inventor at issue was an author of one Brandt paper but not another. Furthermore, there was insufficient evidence presented to establish that the co-inventor was responsible for directing production of the contents of the Brandt publications. Accordingly, the panel held that the Brandt publications were prior art to the '404 patent.
Noting that the Brandt publications disclosed a substantial rate of eyelash hair growth as a side effect of using bimatoprost in eyedrops, and coupled with Johnstone's teaching that eye drops containing latanoprost (another PGF analog) promote eyelash hair growth when making topical contact with the eyelid, the panel held that the ordinary artisan would have had substantial motivation to follow Johnstone and use topical application of bimatoprost to grow eyelash hair and the Brandt publications provided a reasonable expectation of success. Accordingly, the panel held that the claims were obvious.
The Dissent
The dissent joined the majority in all respects except for obviousness of the '029 patent, agreeing with the District Court and Examiner that Johnstone's teachings were too vague and equivocal. In particular, the dissent thought Johnstone's teaching concerning the saturated α-chain of the PGF analogs was merely one item "serve[d] up [in] a menu of seemingly unlimited possibilities" that would cover "almost any conceivable prostaglandin," failing to provide sufficient "blaze marks" to the claimed invention. The dissent asserted that Johnstone's teachings regarding a saturated α-chain, rather than directing the ordinary artisan to a finite number of identified, predictable solutions, "proposes hundreds of thousands, or even millions, of variations on the alpha chain."
And the dissent further believed that the majority erred in minimizing the undisputed evidence that the field of hair growth was "unpredictable and mysterious."
Allergan, Inc. v. Apotex, Inc. (Fed. Cir. 2014)
Panel: Chief Judge Prost and Circuit Judges Reyna and Chen
Opinion by Chief Judge Prost; dissenting opinion by Circuit Judge Chen

Leave a comment